Standard Deviation (SD or 'σ')
◙ Primary Use: Measuring Market Volatility
◙ When Trading: Confirming Price Reversals
◙ Typical Settings: 20/21 Periods
Introduction To Standard Deviation
Standard deviation is a widely used statistical tool for measuring market volatility.
- Its symbol is the Greek letter sigma (σ).
 
Standard deviation is based on the concept of normal distribution, where values tend to cluster around a central average over time.
Understanding Standard Deviation
- 
A higher standard deviation indicates greater variability in data values.
 - 
A lower standard deviation indicates less variability and more consistency around the mean.
 

 
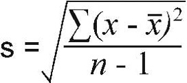
 How to Calculate Standard Deviation
To calculate standard deviation:
- 
Calculate the mean (average) of the data set.
 - 
Subtract the mean from each data point and square the result.
 - 
Sum all the squared deviations.
 - 
Divide the sum by the number of periods.
 - 
Take the square root of the result to get the standard deviation (σ).
 


 Trading with Standard Deviation
Standard deviation should not be used alone as a trading signal generator. Instead, use it to:
- 
Forecast potential price reversals, based on the idea of mean reversion.
 - 
Confirm signals from other technical indicators, especially for price reversals.
 - 
Assess market risk and adjust your money management strategies accordingly.
 
Platform Setup
To add Standard Deviation in MetaTrader:
- 
Navigate to: INDICATORS → TREND → STANDARD DEVIATION
 - 
Use the default or set to: Period: 20 or 21
 
Summary: Using Standard Deviation
Standard Deviation is a powerful technical analysis tool for gauging volatility and supporting trading decisions—especially when used with other technical indicators.
■ What is Standard Deviation?
ExpertSignal.com
 Read More at ExpertSignal » Ichimoku
 
■ COMPARE PROVIDERS 
► Forex Accounts 
► Trade Signals 
► Crypto Exchanges 
  
  
► Volume indicators 
► Oscillators 
 
■ TREND INDICATORS 
» Introduction 
 
 
 
 
» Moving Averages 
» Fibonacci 






